近日,欧冠官方网站量子材料科学中心王健教授课题组与谢心澄院士、清华大学物理系薛其坤院士、王立莉副研究员、北京师范大学物理学系刘海文教授、中国人民大学物理学系刘易副教授、宾夕法尼亚州立大学物理系Nitin Samarth教授、陕西师范大学物理学与信息技术学院潘明虎教授等合作,在二维界面高温超导体FeSe/SrTiO3中观测到了接近20 K的高温玻色反常金属态,是迄今为止特征温度最高的玻色反常金属态。经过十余年的系统实验研究,王健团队发现通过控制样品生长条件和制备周期性孔洞阵列来改变二维界面高温超导FeSe薄膜样品的正常态电阻,可以实现对二维超导态的有效调控,进而发现了高温玻色金属态及其演化规律,并观测到玻色型奇异金属态的特征。基于实验发现,该工作给出了零磁场下玻色反常金属态的微观理论模型,也即欧姆耗散影响下的磁通涡旋量子隧穿图像,为理解反常金属态的物理起源提供了重要视角。这一工作以“铁基界面超导体中的高温反常金属态”(High-Temperature Anomalous Metal States in Iron-Based Interface Superconductors)为题,于2024年5月31日发表于学术期刊《物理评论快报》(Physical Review Letters)。
超导-绝缘体相变是量子相变的经典范例,距今已有三十多年的研究历史,是凝聚态物理领域的重要研究方向,相关研究曾获2015年凝聚态物理最高奖Buckley奖。实验研究表明,在超导-绝缘体相变过程中,除超导态和绝缘态之外,可能存在着第三种量子基态——玻色反常金属态(亦被称为量子金属态)。在过去的三十多年中,科研工作者对多种二维超导体展开研究,探索玻色反常金属态的实验证据。然而,二维反常金属态的物理起源仍是未解之谜。
王健课题组与合作者在二维超导体系的反常金属态研究中取得了一系列重要的原创性成果,包括与电子科技大学李言荣研究组等合作在高温超导钇钡铜氧(YBCO)多孔薄膜中证实了二维反常金属态的存在,并揭示出这是一种由玻色子主导的新奇量子基态(Science 366, 1505-1509(2019));与清华大学薛其坤研究组等合作首次在分子束外延生长的高质量PdTe2超导薄膜中,通过使用高质量滤波器排除外界高频噪声的干扰,观察到本征反常金属态的实验证据(Nano Letters 20, 5728-5734(2020));与欧冠官方网站林熙、中国石油大学邢颖等合作在过渡族金属硫化物4Ha-TaSe2的薄层超导器件中,直接观测到高频噪声诱导的非本征反常金属态,以及在更低温更高磁场下,有效滤波后仍然存在的本征反常金属态(Nano Letters 21, 7486-7494(2021))等。
在本项研究工作中,王健课题组与合作者运用分子束外延生长技术,在SrTiO3(STO)衬底上制备了低至单个原胞厚的高质量晶态FeSe薄膜,并开展了系统的极低温强磁场电输运实验研究。FeSe/STO是一种二维界面高温超导体系,其超导起始转变温度可以超过40 K,零电阻温度通常在20 K左右。研究发现,在正常态电阻稍大的FeSe/STO体系中,随着温度不断降低,体系的电阻会先降低,然后逐渐饱和于一个非零数值(图1a),同时体系的霍尔系数为零(图1b),表明该金属态具有与超导态类似的粒子空穴对称性,证实FeSe/STO体系中存在玻色反常金属态。值得注意的是,该反常金属态的特征温度接近20 K,超过了所有前期报道中反常金属态的特征温度(图1c)。

图1 (a)二维界面高温超导FeSe/STO体系电阻随温度的变化曲线,展示了特征温度约为19.7 K的反常金属行为。(b)电阻与霍尔系数随温度的关系。(c)不同材料体系中,反常金属特征温度及其与超导起始转变温度比值的统计结果。
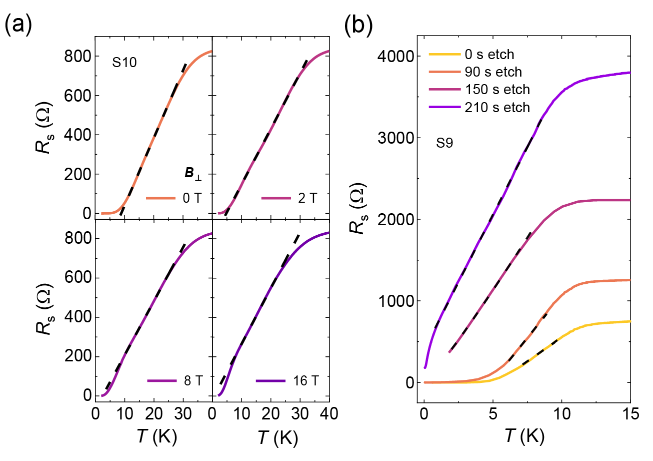
为了进一步研究FeSe/STO体系中的玻色金属态行为,研究团队通过反应离子刻蚀技术,在该体系中制备了周期性的孔洞阵列,形成了二维约瑟夫森结阵列结构。通过增加孔洞的刻蚀时间,FeSe/STO约瑟夫森结阵列中的超导岛会逐渐缩小,超导岛之间的结电阻会增加,体系的正常态电阻也随之增加。研究发现,在210s刻蚀的FeSe/STO多孔薄膜中,反常金属态的特征温度约为0.4 K,相比于未打孔的反常金属特征温度显著降低。同时,在FeSe/STO多孔薄膜的反常金属态的温区中,磁阻数据表现出了周期为h/2e的库珀对的量子振荡,揭示了反常金属态的玻色本质。
此外,在晶态未打孔和孔洞阵列调控的FeSe/STO体系中,研究团队还在超导转变温度以下,观测到了电阻随温度的线性依赖关系(图2),与表现出非费米液体行为的奇异金属态的特征相似。在FeSe/STO体系中,该线性电阻的斜率,显著大于超导转变温度之上由费米子主导的奇异金属态,且在该线性电阻行为的温度区间内,实验同时观测到了h/2e的量子振荡、霍尔系数明显抑制等特征。因此,超导转变温度以下出现的这种电阻随温度的线性依赖行为揭示出FeSe/STO体系中存在玻色型奇异金属态。

图2 晶态未打孔(a)与孔洞阵列调控(b)的FeSe/STO体系中,电阻随温度的线性依赖关系,如黑色虚线所示。
在此基础上,研究团队提出了零磁场下反常金属态的微观理论模型。模型主要基于二维超导体系中磁通涡旋的量子隧穿过程,以及与费米子的耦合给磁通涡旋运动带来的耗散作用(耗散强度反比于体系的平均结电阻,也可以理解为反比于样品的正常态电阻),进而给出玻色反常金属态的电输运特征。该模型能够实现对玻色金属态电阻-温度曲线的定量拟合(图3b),以及对玻色金属态随体系正常态电阻演化规律的定性描述(图3c)。因此,该项工作不仅揭示出FeSe/STO体系中的高温反常金属态,为反常金属的相关实验研究提供了重要的平台,而且通过实验与理论的结合,很好地描述了零磁场下玻色量子金属态的演化规律,为理解玻色反常金属态的物理起源开辟了重要的途径。

图3(a)磁通涡旋动力学示意图。(b)反常金属电阻温度曲线及相应的理论拟合曲线。(c)不同样品中,反常金属特征温度和超导起始转变温度的比值,与样品正常态电阻的关系。(d)不同耗散强度下模拟得到的电阻温度理论曲线。
该工作中,欧冠官方网站与宾夕法尼亚州立大学联合培养博士生李亚楠(已毕业)、刘海文教授、欧冠官方网站量子材料科学中心季浩然博士为本文的共同第一作者,王健教授和刘易副教授为共同通讯作者。该工作得到了国家自然科学基金、国家重点研发计划、北京市自然科学基金、广东省基础与应用基础研究基金项目、季华实验室、北京凝聚态物理国家研究中心、北京市科协青年人才托举工程、中央高校基本科研基金、中国人民大学科学研究基金的支持。
论文链接:https://journals.aps.org/prl/abstract/10.1103/PhysRevLett.132.226003