近日,欧冠官方网站量子材料科学中心、纳米器件物理与化学教育部重点实验室、北京量子信息科学研究院陈剑豪教授课题组与谢心澄院士等合作者通过构筑量子自旋液体/伊辛超导异质结低维量子系统,在中心对称破缺的天然异质结6R-TaS2(堆叠方式:1T-1H-1T-1H-1T-1H)中实现了高度交织的衍生关联物理。相关研究成果以“薄层6R-TaS2中向列相伊辛超导-隐藏磁性共存”(Nematic Ising superconductivity with hidden magnetism in few-layer 6R-TaS2)为题发表在期刊《自然•通讯》(Nature Communications)。
强关联电子体系由于关联效应和量子涨落的竞争而衍生出很多新奇的量子态,是当今物理学界的重要研究领域。关联效应涵盖了晶格、电荷、自旋和轨道之间强烈的相互作用,在高温超导、量子自旋液体、重费米子系统、伊辛超导、莫特绝缘体等领域扮演着关键角色,在量子计算领域也有重要应用前景。深入研究强关联电子系统的性质和行为、并实现对其的构筑和操纵对于发展新型量子材料和推动量子科技领域发展具有重大意义。
量子自旋液体(QSL)是一种特殊的量子物质形态,由P. W. Anderson在1973年提出,其特点有:1)在零温极限下无自发对称性破缺;2)具有拓扑序,超越了传统的朗道范式;3)具有高度纠缠的量子态和新奇的任意子激发,因此在量子通信和量子信息处理(如拓扑量子计算)方面具有重大潜在应用价值。伊辛超导是一种特殊的超导体,空间反演对称破缺加上强自旋-轨道耦合导致库珀对的自旋沿着面外方向极化,进而导致很强的面内各向同性的上临界磁场。香港科技大学物理系K.T. Law教授理论上预言,伊辛超导体可用于创造一种名为“马约拉纳费米子”的新粒子。因此,量子自旋液体和伊辛超导的研究一直备受关注。
近年来,低维异质结工程和转角电子学技术的发展已经彻底改变和极大促进了量子材料和凝聚态物理的研究,甚至可以创造出任何单一组成原子层中都不存在的新电子基态。理论和数值研究表明,三角阻挫系统中局域自旋和巡游电子耦合可能会产生手性QSL(非共线的手性自旋结构),进一步手性自旋和巡游电子之间的近藤耦合有望产生反常霍尔效应,这种非共线的手性自旋结构甚至可能产生微弱的内禀磁性。因此,构筑QSL/伊辛超导低维异质结(即局域自旋/巡游电子耦合)的量子系统有可能衍生出非常丰富的新奇关联物理现象。过渡金属族二硫化物TaS2家族有着不同种类的晶体结构,提供了很好的研究平台。其中2H-TaS2的空间群为P63/mmc,单层1H-TaS2打破了空间反演对称,强自旋-轨道导致了1H-TaS2的伊辛超导行为;而1T-TaS2的空间群为P3m1,是三角体系,Patrick Lee研究表明1T-TaS2既是QSL候选,又是莫特绝缘体。
陈剑豪研究团队长期致力于低维量子输运器件和物理研究,与合作者在低维高迁移率材料、低维拓扑材料、低维磁性材料领域已完成一系列重要的研究工作,如发现拓扑材料的贝利曲率和轨道磁矩带来的奇异磁电阻效应(Science Bulletin 68, 1488 (2023)),发现笼目结构金属CsV3Sb5的线性磁阻(2D Materials, 10, 015010 (2023))和三维隐藏序的磁输运特征(Nature Communications 15, 5038 (2024)),实现二维反铁磁体中电控的磁振子阀并发现巨大的可调磁振子输运各向异性(Nature Communications 12, 6279 (2021);Nature Communications 14, 2526 (2023)),以及在非常规铁基超导块材中发现三维量子格里菲斯奇异性(National Science Review, nwae220 (2024))等。
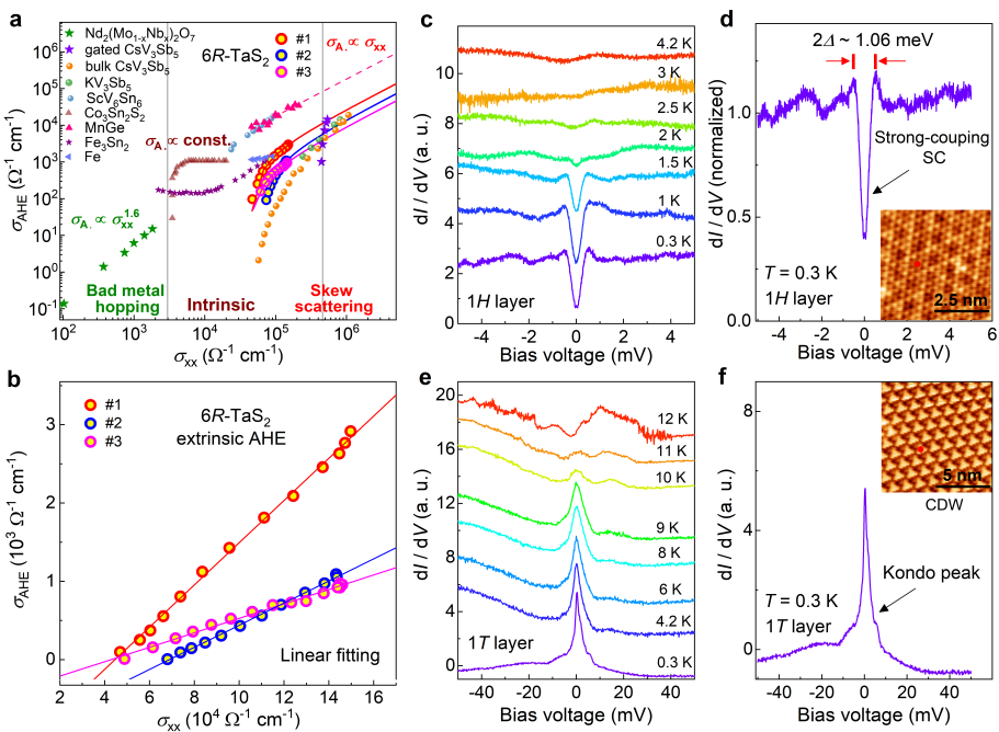
近日,陈剑豪教授课题组与合作者通过构筑量子自旋液体/伊辛超导异质结低维量子系统,在中心对称破缺的天然异质结6R-TaS2(堆叠方式:1T-1H-1T-1H-1T-1H)中实现了高度交织的衍生关联物理:向列序、伊辛超导、相干近藤共振(近藤晶格)、巨大的斜散射反常霍尔(反常霍尔电导高达3000 Ω-1cm-1,超越很多磁性材料)、磁场可调控的热回滞、电荷密度波等等。截止到目前为止,QSL/伊辛超导异质结衍生的奇异关联量子态背后的物理机制仍然有待被解决,我们的实验结果将会促进相关理论的进展。

图一,薄层6R-TaS2:天然范德华异质结、量子自旋液体候选/莫特绝缘体、向列相伊辛超导。

图二,6R-TaS2中的隐藏磁性:巨大的非本征反常霍尔效应(斜散射机制)、强耦合超导和近藤共振的分层共存。

图三,6R-TaS2量子平台衍生丰富的关联物理:伊辛超导、向列序、电荷密度波、隐藏磁性(相干的近藤共振、斜散射的反常霍尔效应、磁场可调的热回滞现象)。
该论文的第一作者是欧冠官方网站量子材料科学中心博士后刘少博,其他共同第一作者还包括:欧冠官方网站量子材料科学中心博士研究生田丛宽、上海交通大学材料科学与工程学院方裕强副研究员、南方科技大学物理系/深圳量子科学与工程研究所博士后戎洪涛。该论文的通讯作者包括:陈剑豪教授、姜宇航教授和黄富强教授。
上述研究工作得到了国家重点研发计划“量子调控与量子信息”重点专项、国家自然科学基金、中国科学院战略性先导科技专项等项目的支持。
论文原文链接:https://doi.org/10.1038/s41467-024-51631-z