发布日期:2025-02-27 浏览次数:
供稿:理论物理研究所 |
编校:时畅 |
编辑:胡克倩 |
审核:朱世琳
近日,欧冠官方网站理论物理研究所刘佳课题组与威斯康星大学麦迪逊分校白杨课题组合作,将轴子自洽地引入Wess-Zumino-Witten(韦斯-祖米诺-维滕)相互作用,提出了完整的轴子-介子相互作用新理论。该成果以“轴子的韦斯-祖米诺-维滕相互作用”(Wess-Zumino-Witten interactions of axions)为题于2025年2月26日在线发表于《物理评论快报》(Physical Review Letters)。
强强相互作用中的CP问题是粒子物理学中尚未解决的重要问题之一。量子色动力学的非平庸真空允许出现CP对称性破坏,但是中子电偶极矩的测量结果表明该CP破坏复相角小于10-10弧度,远低于CKM矩阵的CP复相角。Peccei和Quinn在1977年提出了一种Pecci-Quinn新机制解决该问题,其中包含一个全局对称性(PQ对称性)的自发破缺。其后,诺贝尔奖获得者Weinberg和Wilczek在1978年分别指出全局对称性破缺之后,PQ机制存在一个轻质量的赝标量物理自由度,即轴子(Axion)。轴子可以通过非热平衡产生,并具有足够长的寿命,可以作为一种超轻波动型暗物质候选者。因此,轴子物理在近年来受到了粒子物理学界的广泛关注。
最早提出的 PQWW 轴子模型假设 PQ 对称性在电弱能标附近破缺,因此很快被加速器实验对介子异常衰变的观测结果所排除。然而,2021年的研究发现,早期经典文献中对K → πa衰变的计算存在理论自洽性问题,使得预测的衰变分支比比原先估计小30 余倍。因此,轴子低能理论需要完整捕捉轴子-介子相互作用的全部物理信息,否则计算结果容易出现不自洽。
在有效场论框架下,构造轴子-介子相互作用的低能拉氏量并不困难。然而,从高能尺度的轴子-夸克-胶子相互作用,自洽地匹配到低能轴子-介子相互作用却并不容易。首先,夸克手征基选择会导致拉氏量中轴子-介子相互作用项的具体形式发生变化。然而,在一个真正自洽的理论中,最终的物理可观测量必须独立于手征基的选取。其次,在QCD和低能强子物理中,Wess-Zumino-Witten(WZW)相互作用至关重要。它描述了由手征反常引起的多介子和光子的相互作用。因此,一个完整的轴子-介子低能理论应该包含 WZW 相互作用。最后,轴子的PQ全局对称性、复合矢量介子的全局对称性以及标准模型的基本规范对称性之间存在混合量子反常,可能会破坏标准模型的规范不变性,需要得到妥善处理。
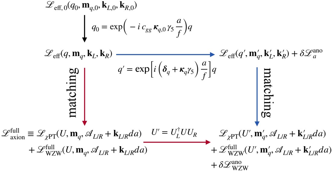
近期,刘佳课题组与合作者在该方向上取得了重要理论进展,建立了包含轴子的WZW相互作用的自洽理论,可以描述轴子与基本规范玻色子(如光子和中性Z玻色子)以及复合赝标量和(轴)矢量介子的完整相互作用。该理论将轴子的微分1-形式作为背景矢量场引入WZW相互作用,同时引入轴子的非平庸抵消项,保证了标准模型规范相互作用的规范不变性。上述含抵消项的轴子WZW相互作用拉氏量与正常的手征拉氏量一起,构成了轴子-介子相互作用的完整理论。在该理论框架下的物理系数不依赖于夸克手征基选取。轴子夸克层次的有效拉格朗日量关系和介子层次手征拉格朗日量的匹配示意图见图一。

图一:夸克层次的有效拉格朗日量关系和介子层次手征拉格朗日量的匹配示意图。
威斯康星大学麦迪逊分校白杨教授、博士研究生Ting-Kuo Chen,欧冠官方网站理论物理研究所刘佳助理教授、博士研究生马小林共同合作完成了上述研究工作。按照高能物理学界惯例,作者按照姓氏字母顺序署名。该工作得到了国家自然科学基金、核物理与核技术全国重点实验室和欧冠官方网站高能物理中心的支持。
论文原文链接:https://doi.org/10.1103/PhysRevLett.134.081803