欧冠官方网站凝聚态物理与材料物理研究所、纳米电子前沿科学中心、人工微结构和介观物理全国重点实验室叶堉课题组与欧冠官方网站杨金波教授、中国人民大学欧冠官方网站夏天龙教授等合作,在准二维非共面反铁磁体Co1/3NbS2中观测到了自发拓扑能斯特与拓扑磁光效应,并结合系统的输运测试,明确了该材料自发霍尔效应及磁翻转的物理机制。相关研究成果以“探测准二维反铁磁体Co1/3NbS2中的反常霍尔输运和磁翻转”(Probing the anomalous Hall transport and magnetic reversal of quasi-two-dimensional antiferromagnet Co1/3NbS2)为题发表于《自然·通讯》(Nature Communications)。
磁性材料中的反常霍尔效应不仅在新型量子物态与能带拓扑结构理论研究中具有重要意义,同时也广泛应用于自旋信息的电学读取与调控,为发展新型自旋电子器件的研发奠定了物理基础。近期研究表明,在非共线或非共面反铁磁材料中,其自旋手性可作为打破时间反演对称的序参量,从而净磁矩为零也可展现出巨大的自发霍尔效应。通过将Co2+离子可控插层进入二维过渡金属硫族化合物NbS2,可在准二维材料体系中构造出“全进全出”的非共面拓扑反铁磁基态,为研究准二维体系中的拓扑输运与磁光效应提供了理想平台。然而,受限于Co1/3NbS2磁结构的复杂性,其自发霍尔效应及非共面自旋结构翻转的物理机制,目前尚缺乏明确的物理图像。
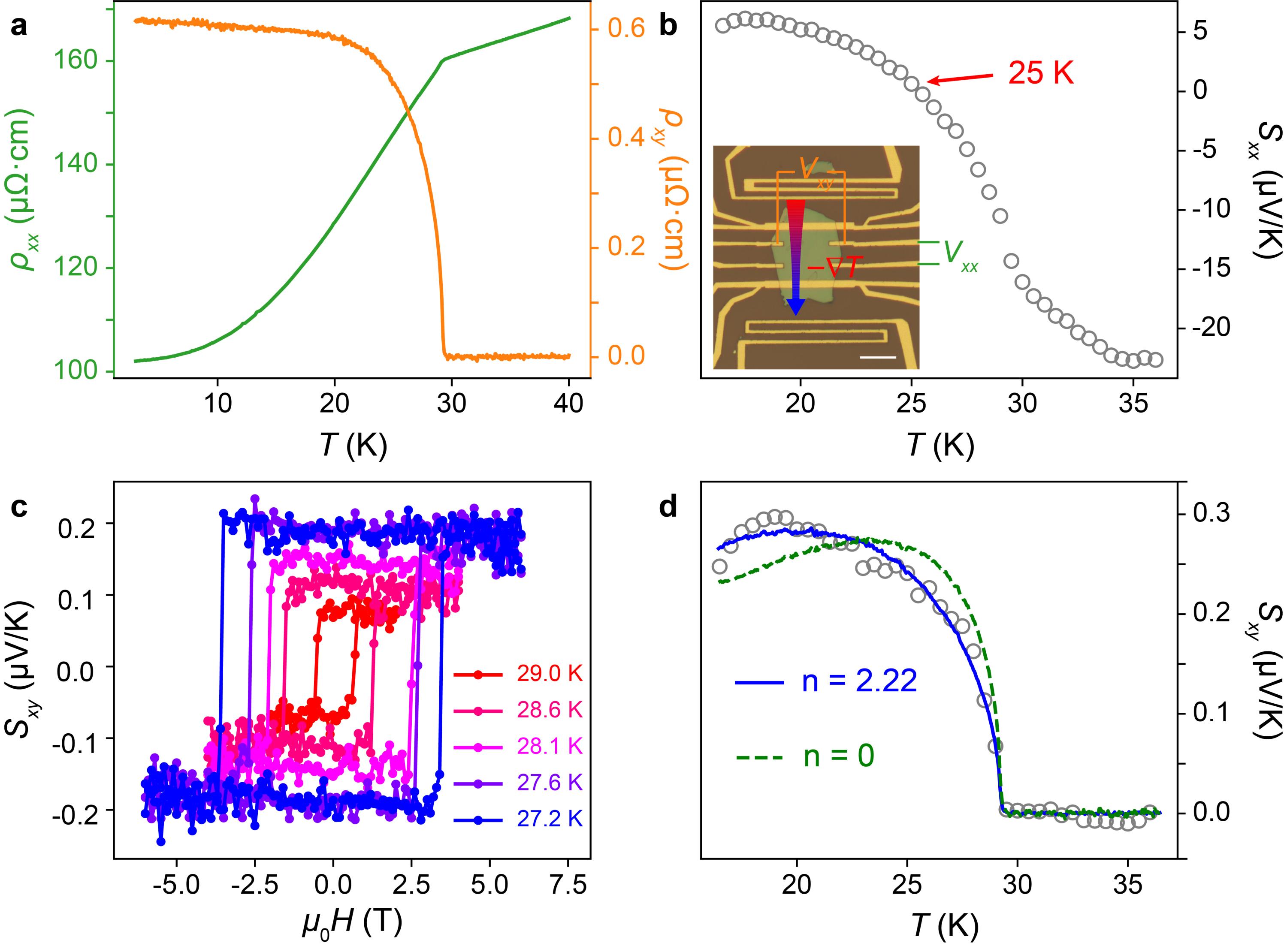
针对这一问题,研究团队进行了自发拓扑能斯特与拓扑磁光效应的测量,结合输运测试结果,建立了准二维拓扑反铁磁体Co1/3NbS2自发霍尔与磁翻转的唯象模型。对于非共面反铁磁结构,实空间赝磁场、斜散射机制以及k空间贝利曲率均可诱导出自发霍尔效应。如图一所示,研究团队制备了二维热电输运测量器件,测量了Co1/3NbS2纳米片的输运系数与热电输运系数。在能斯特效应随磁场的变化曲线中未观测到线性能斯特效应,说明实空间赝磁场无法描述该体系的自发霍尔效应;而通过结合Mott关系对输运系数与热电系数进行拟合,可得到反常霍尔经验公式ρxyA=λMρxxn中指数参数n接近2,从而证明了Co1/3NbS2的反常霍尔电导与载流子散射时间无关,即其自发霍尔效应来源于k空间贝利曲率的贡献。

图一:Co1/3NbS2输运系数、热电系数测量及Mott关系拟合。
通过反射磁圆二色性谱(RMCD),研究团队观测到了Co1/3NbS2中的自发磁光效应,并通过其空间扫描观测到了非共面反铁磁的磁畴分布。如图2所示,在零场冷下,Co1/3NbS2展现为多畴结构,其磁畴尺寸约3-5μm。

图二:Co1/3NbS2中反射磁圆二色性空间扫描信号,展现出非共线反铁磁磁畴。
为进一步阐明Co1/3NbS2中的磁畴翻转机制,研究团队通过转角反常霍尔效应测量发现:块体样品表现为成核–畴壁快速扩散式翻转;而纳米片样品由于表面磁畴钉扎,翻转过程呈现缓慢的畴壁扩散特征。这一差异表明磁翻转起始于样品内部,并解释了二者矫顽场的显著差异。此外,块体与纳米片在交换偏置效应上亦表现出不同:如图三所示,经过零场冷后,块体样品因成核位点钉扎而产生明显的交换偏置效应,且该偏置随磁场扫描迅速消失;而纳米片样品因表面磁畴普遍钉扎,其矫顽场始终对称,并在磁场循环中呈现缓慢的训练效应。Co1/3NbS2中本征的交换偏置及磁畴的记忆效应,为基于其设计二维反铁磁自旋电子学器件提供了便利。

图三:块体与纳米片Co1/3NbS2交换偏置效应对比。
基于上述实验结果,研究团队构建了一套完善的准二维非共面反铁磁体唯象模型,首次从热电输运、磁光与载流子输运等多维度全面理解了Co1/3NbS2中的拓扑输运行为及其反铁磁磁畴翻转过程,为二维非共线反铁磁自旋电子学器件的发展提供了物理基础。欧冠官方网站2019级博士生谷平凡、博雅博士后彭宇轩为论文共同第一作者;中国人民大学夏天龙教授、欧冠官方网站杨金波教授与叶堉教授为论文共同通讯作者。
上述研究工作得到了国家重点研发计划和国家自然科学基金等支持。
原文链接:https://www.nature.com/articles/s41467-025-59690-6.pdf