科学研究
科研成果
北大量子材料中心刘雄军组和合作者在《科学》上发表重要研究结果
发布日期:2016-10-12 浏览次数:

北大量子材料中心刘雄军组和合作者在《科学》上发表重要研究结果

欧冠官方网站和中国科学技术大学相关研究人员的联合团队在超冷原子量子模拟领域取得重要突破。研究团队理论提出并在实验上人工合成超冷原子的二维自旋轨道耦合,测定了由自旋轨道耦合导致的新奇拓扑物性。这一关键突破对于研究新奇量子物态,进而推动人们对物质世界的深入理解将带来重大影响。该合作成果以“研究长文”的形式发表在最新一期的国际权威学术期刊《科学》上(参见链接1)。《科学》杂志在同期的观点栏目(Perspective)配发了题为”Cold atoms twisting spin and momentum”的评论文章。

自旋轨道耦合是量子物理学中基本的物理效应。它在多种基本物理现象和新奇量子物态中扮演了核心角色。对这些现象的研究导致产生了自旋电子学,拓扑绝缘体,拓扑超导体等当前凝聚态物理中最重要的前沿研究领域。然而,由于普遍存在难以控制的复杂环境,很多重要的新奇物理难以在固体材料中做精确研究。这对相关科研带来很大的挑战。

同时,随着超冷原子物理量子模拟领域的重大发展,在超冷原子中实现人工自旋轨道耦合,并研究新奇量子物态已成为该领域最重大的前沿课题之一。冷原子有环境干净,高度可控等重要特性。在过去五年里,一维人工自旋轨道耦合在实验上实现,并取得一系列成果。但探索广泛深刻的新型拓扑量子物态须获得二维以上的自旋轨道耦合。如何实现高维自旋轨道耦合已成为超冷原子量子模拟最紧迫的核心课题。

图1:二维自旋轨道耦合和拓扑能带实现示意图。在激光场的作用下,原子在光晶格中发生自旋翻转的量子隧穿,导致自旋轨道耦合。

在超冷原子中实现高维自旋轨道耦合在理论和实验上都是极具挑战性的问题。国际上多个团队均为此付出了许多努力。为解决其根本困难,欧冠官方网站刘雄军带领的理论小组提出了“拉曼光晶格的量子系统”。发现基于该系统,不仅可完好地实现二维人工自旋轨道耦合,并能得到如量子反常霍尔效应和拓扑超流等深刻的基本物理效应。基于该理论方案,中国科学技术大学潘建伟、陈帅和邓友金等组成的实验小组在发展激光和磁场精确调控技术的基础上,成功地构造了拉曼光晶格量子系统,合成二维自旋轨道耦合的玻色-爱因斯坦凝聚体。进一步研究发现,合成的自旋轨道耦合和能带拓扑具有高度可调控性。

图2:自旋轨道耦合诱导的不同自旋态的原子团分布。

该工作将对超冷原子和凝聚态物理研究产生重大影响,包括为实现拓扑超流和精确研究量子反常霍尔效应奠定基础。基于此工作还可研究全新的拓扑物理,包括固体系统中难以观察到的玻色子拓扑效应等,将为超冷原子量子模拟开辟了一条新道路。

该工作在北大和中国科大两个单位的紧密合作下完成。潘建伟,刘雄军,陈帅依次为论文的通讯作者。该项目得到国家自然科学基金委,国家科技部,中国科学院,中科院-阿里巴巴量子计算联合实验室等支持。

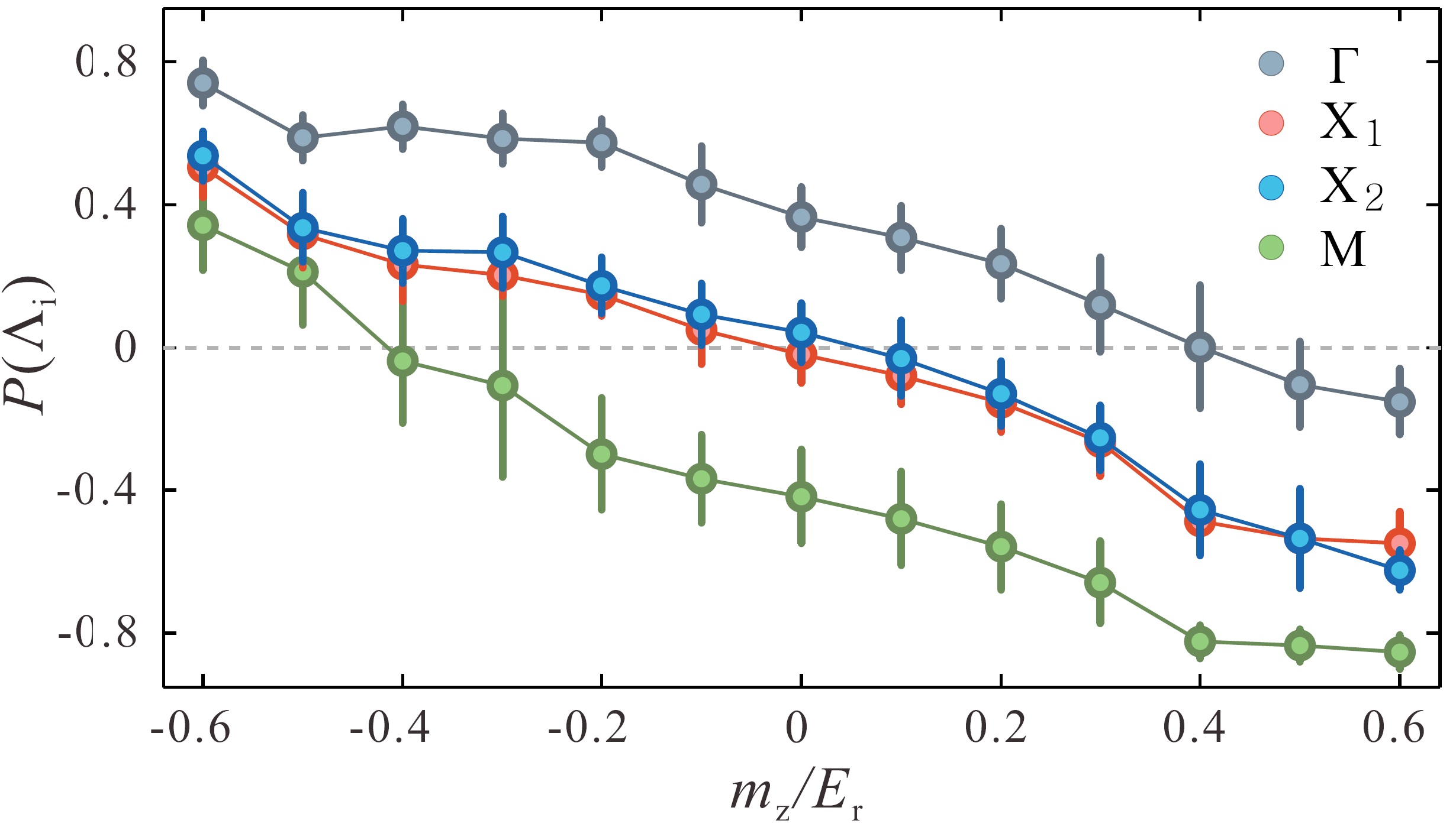
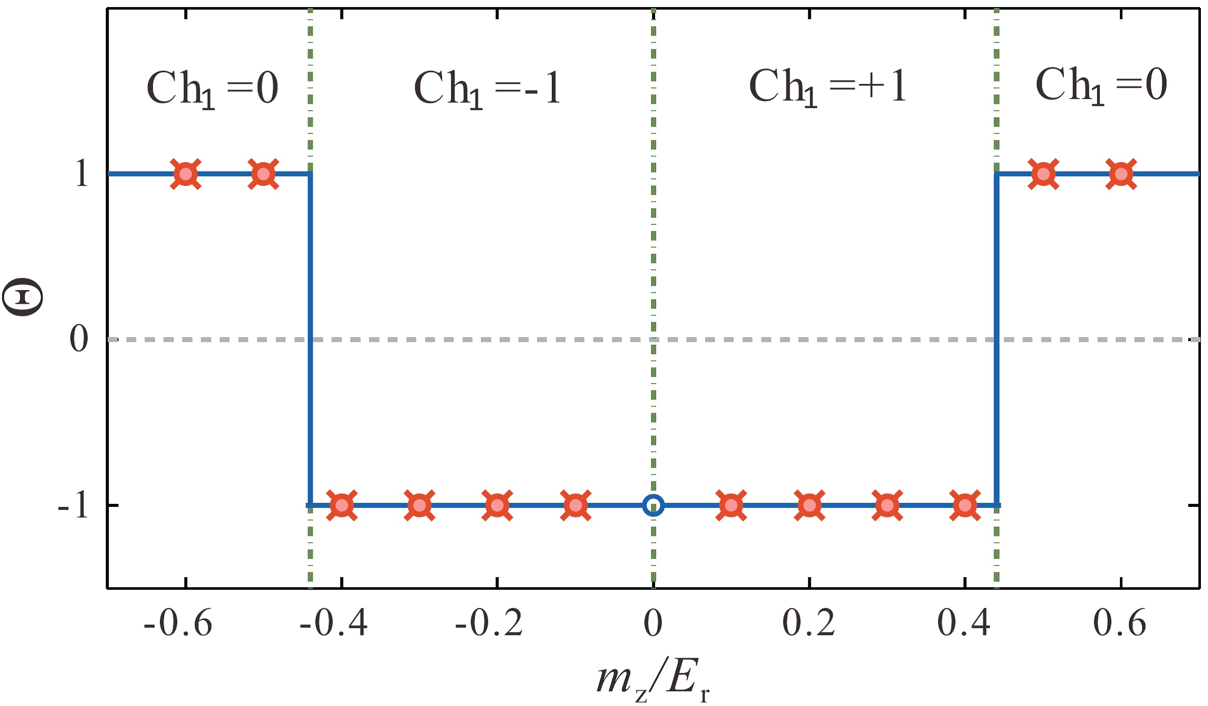
图3:测量到的高对称点自旋态分布以及对应的能带陈省身拓扑数与理论计算相符。

资料链接

1)论文信息:http://science.sciencemag.org/content/354/6308/83.full.pdf+html

2)观点:http://science.sciencemag.org/content/354/6308/35.full