发布日期:2022-07-31 浏览次数:
供稿:江丙炎 |
编辑:孙嘉琪 |
审核:吴孝松
欧冠官方网站凝聚态物理与材料物理研究所、人工微结构和介观物理国家重点实验室、纳光电子前沿科学中心吴孝松研究员课题组与合作者在磁性拓扑外尔半金属Co3Sn2S2 中观测到一种新奇的热电效应,揭示了轨道磁化以及贝里曲率在拓扑材料热电效应中的重要影响。2022年7月28日,相关工作以“倾斜外尔半金属中反对称的塞贝克效应”(Antisymmetric Seebeck effect in a tilted Weyl semimetal)为题,在线发表于《物理评论快报》(Physical Review Letters)。
和自由空间中的外尔费米子不同,凝聚态体系中的外尔费米子不受洛伦兹不变性的限制,从而可以产生许多自由空间中的外尔费米子完全不具备的新奇效应,包括可以用来模拟黑洞和弯曲时空。打破洛伦兹不变性,可以简单地通过倾斜外尔锥来实现,而这样的倾斜在实际材料中广泛存在。虽然已经有大量理论预言倾斜外尔锥导致的各种不同寻常的光、电、热性质,但是相关的实验研究还非常少。

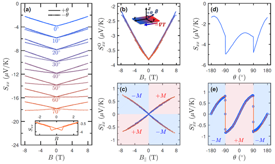
图 (a)磁场偏离z轴时出现关于面内磁场反对称的塞贝克信号;(b)不同角度下的正常塞贝克信号;(c)不同角度下关于面内磁场反对称的塞贝克信号,磁化翻转时该信号也反号;(d)固定磁场在yz面旋转时塞贝克信号的角度依赖;(e)通过反对称得到的关于面内磁场反对称的塞贝克信号。
吴孝松研究员课题组之前在拓扑外尔半金属Co3Sn2S2中发现了一种和外尔锥倾斜相关的新奇磁阻和霍尔效应(Physical Review Letters 126, 236601 (2021))。近期,吴孝松研究员课题组与中国科学院物理研究所刘恩克研究员课题组、南方科技大学卢海舟教授课题组合作,对具有倾斜外尔锥的磁性外尔半金属Co3Sn2S2进行了热电输运效应的实验及理论研究。实验上通过对Co3Sn2S2样品塞贝克信号的测量,发现了一种关于面内磁场反对称的塞贝克信号,同时该信号也关于面外磁化反对称,而相似的信号也出现在能斯特效应中。理论分析证实这一信号来源于贝里曲率与轨道磁矩的共同作用,数值计算与实验结果相一致。此项工作在磁性外尔半金属中观测到这一特殊的热电效应,揭示了该效应中轨道磁化的重要影响,为深入理解拓扑物理提供了一种研究手段。
2022年7月28日,相关工作以“倾斜外尔半金属中反对称的塞贝克效应”(Antisymmetric Seebeck effect in a tilted Weyl semimetal)为题,在线发表于《物理评论快报》(Physical Review Letters)。欧冠官方网站2017级博士研究生江丙炎为论文第一作者;吴孝松、刘恩克、卢海舟为共同通讯作者。
上述研究工作得到国家重点研发计划、国家自然科学基金以及中国科学院重点研究计划等支持。
论文原文链接:https://journals.aps.org/prl/abstract/10.1103/PhysRevLett.129.056601